Name

interp2d — bicubic spline (2d) evaluation function

Calling Sequence

[zp[,dzpdx,dzpdy[,d2zpdxx,d2zpdxy,d2zpdyy]]]=interp2d(xp,yp,x,y,C [,out_mode])

Parameters

xp, yp

real vectors or matrices of same size

x,y,C

real vectors defining a bicubic spline or sub-spline function (called s in the following)

out_mode

(optional) string defining the evaluation of s outside [x(1),x(nx)]x[y(1),y(ny)]

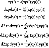
zp

vector or matrix of same format than xp and yp, elementwise evaluation of s on these points.

dzpdx, dzpdy

vectors (or matrices) of same format than xp and yp, elementwise evaluation of the first derivatives of s on these points.

d2zpdxx, d2zpdxy, d2zpdyy

vectors (or matrices) of same format than xp and yp, elementwise evaluation of the second derivatives of s on these points.

Description

Given three vectors (x,y,C) defining a bicubic spline or sub-spline function (see splin2d) this function evaluates s (and ds/dx, ds/dy, d2s/dxx, d2s/dxy, d2s/dyy if needed) at (xp(i),yp(i)) :

The out_mode parameter defines the evaluation rule for extrapolation, i.e. for (xp(i),yp(i)) not in [x(1),x(nx)]x[y(1),y(ny)]:

"by_zero"

an extrapolation by zero is done

"by_nan"

extrapolation by Nan

"C0"

the extrapolation is defined as follows :

 
s(x,y) = s(proj(x,y)) where proj(x,y) is nearest point 
                      of [x(1),x(nx)]x[y(1),y(ny)] from (x,y)
 
"natural"

the extrapolation is done by using the nearest bicubic-patch from (x,y).

"periodic"

s is extended by periodicity.

Examples

 
// see the examples of splin2d

// this example shows some different extrapolation features
// interpolation of cos(x)cos(y)
n = 7;  // a n x n interpolation grid
x = linspace(0,2*%pi,n); y = x;
z = cos(x')*cos(y);
C = splin2d(x, y, z, "periodic");

// now evaluate on a bigger domain than [0,2pi]x [0,2pi]
m = 80; // discretisation parameter of the evaluation grid
xx = linspace(-0.5*%pi,2.5*%pi,m); yy = xx;
[XX,YY] = ndgrid(xx,yy);
zz1 = interp2d(XX,YY, x, y, C, "C0");
zz2 = interp2d(XX,YY, x, y, C, "by_zero");
zz3 = interp2d(XX,YY, x, y, C, "periodic");
zz4 = interp2d(XX,YY, x, y, C, "natural");
clf()
subplot(2,2,1)
plot3d(xx, yy, zz1, flag=[2 6 4])
xtitle("extrapolation with the C0 outmode")
subplot(2,2,2)
plot3d(xx, yy, zz2, flag=[2 6 4])
xtitle("extrapolation with the by_zero outmode")
subplot(2,2,3)
plot3d(xx, yy, zz3, flag=[2 6 4])
xtitle("extrapolation with the periodic outmode")
subplot(2,2,4)
plot3d(xx, yy, zz4, flag=[2 6 4])
xtitle("extrapolation with the natural outmode")
xselect()
 

See Also

splin2d

Authors

B. Pincon